Tajuk Matematik Spm Kertas 2

Strategi Untuk Skor Matematik Spm Kertas 1 Dan Kertas 2 Mathematics Dan

Strategi Untuk Skor Matematik Spm Kertas 1 Dan Kertas 2 Mathematics Dan

02 Modul Matematik In 2020 Chart Line Chart Diagram

02 Modul Matematik In 2020 Chart Line Chart Diagram

Soalan Kertas Ujian Matematik Kertas 2 Tahun 5 Kssr 6 638 Jpg 638 826 Math Reference Sheet Math Worksheets Math

Soalan Kertas Ujian Matematik Kertas 2 Tahun 5 Kssr 6 638 Jpg 638 826 Math Reference Sheet Math Worksheets Math

Tajuk Tajuk Matematik Spm Kertas 2

Tajuk Tajuk Matematik Spm Kertas 2

Matematik Spm 2019 Kertas 2 Soalan 10 Topik Isipadu Pepejal Teknik M In 2020 Neon Signs 10 Things Signs

Matematik Spm 2019 Kertas 2 Soalan 10 Topik Isipadu Pepejal Teknik M In 2020 Neon Signs 10 Things Signs

Soalan Pertengahan Tahun Matematik Tingkatan 4

Soalan Pertengahan Tahun Matematik Tingkatan 4

Soalan Pertengahan Tahun Matematik Tingkatan 4

Jawapan Kertas 2 Matematik Upsr 2018 Kelas Matematik Cikgu Kj Facebook

Jawapan Kertas 2 Matematik Upsr 2018 Kelas Matematik Cikgu Kj Facebook

Peperiksaan Pertengahan Tahun Matematik Tahun 5 Kertas 1 Exam Worksheets Wicca

Peperiksaan Pertengahan Tahun Matematik Tahun 5 Kertas 1 Exam Worksheets Wicca

Soalan Matematik Spm Kertas 2 Persoalan Q

Soalan Matematik Spm Kertas 2 Persoalan Q

Tajuk Ramalan Sains Kertas 2 Upsr 2019 Pendidikan Diagram Bar Chart Chart

Tajuk Ramalan Sains Kertas 2 Upsr 2019 Pendidikan Diagram Bar Chart Chart

Soalan Matematik Tahun 5 Tajuk Peratus Terengganu W

Soalan Matematik Tahun 5 Tajuk Peratus Terengganu W

Soalan Matematik Tahun 3 Bundarkan Selangor E

Soalan Matematik Tahun 3 Bundarkan Selangor E

Modul Pecutan Akademik Upsr Matematik Pendidikan Abs

Modul Pecutan Akademik Upsr Matematik Pendidikan Abs

Topik Ramalan Upsr Sains 2019 Science Pendidikan Bahasa

Topik Ramalan Upsr Sains 2019 Science Pendidikan Bahasa

Format Kertas Matematik Spm

Format Kertas Matematik Spm

Soalan Matematik Spm Microsoft Word Malacca U

Soalan Matematik Spm Microsoft Word Malacca U

Soalan Matematik Wang Liga Mx Q

Soalan Matematik Wang Liga Mx Q

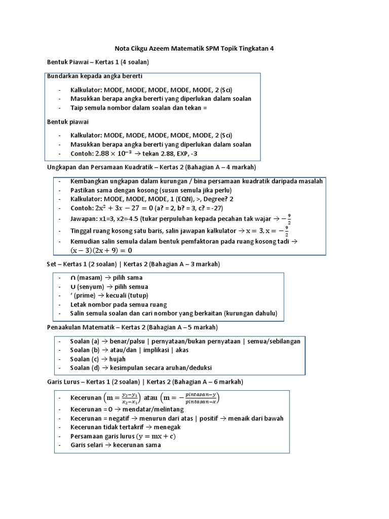
Nota Cikgu Azeem Matematik Spm Topik Tingkatan 4

Nota Cikgu Azeem Matematik Spm Topik Tingkatan 4

Tajuk Ramalan Upsr 2018 Sains Kertas 2 Education Ios Messenger

Tajuk Ramalan Upsr 2018 Sains Kertas 2 Education Ios Messenger

Image Result For Latihan Kata Seru Tahun 2 Education Kids Education Writing

Image Result For Latihan Kata Seru Tahun 2 Education Kids Education Writing

Soalan Matematik Tahun 3 Kertas 2 Semester 1 Kuora Q

Soalan Matematik Tahun 3 Kertas 2 Semester 1 Kuora Q

Teknik Menjawab Kertas 2 Bahasa Melayu Spm Sumber Pendidikan Sumber Novelty Sign Light Box

Teknik Menjawab Kertas 2 Bahasa Melayu Spm Sumber Pendidikan Sumber Novelty Sign Light Box

Soalan Matematik Kertas 2 Percubaan Upsr 2015 Negeri Selangor Bahan Mengajar Matematik

Soalan Matematik Kertas 2 Percubaan Upsr 2015 Negeri Selangor Bahan Mengajar Matematik

Siri Efektif Kertas Model Upsr Matematik Dwibahasa Kertas 2 2020 Topbooks Plt

Siri Efektif Kertas Model Upsr Matematik Dwibahasa Kertas 2 2020 Topbooks Plt

1

1

Soalan Matematik Kertas 2 Percubaan Upsr 2015 Negeri Sembilan Bahan Mengajar Matematik

Soalan Matematik Kertas 2 Percubaan Upsr 2015 Negeri Sembilan Bahan Mengajar Matematik

Soalan Matematik Tahun 4 Sjkt Selangor L

Soalan Matematik Tahun 4 Sjkt Selangor L

Kertas Soalan Upsr 2017 Matematik Kertas 1 Untuk Rujukan Anda Pendidikanmalaysia Com

Kertas Soalan Upsr 2017 Matematik Kertas 1 Untuk Rujukan Anda Pendidikanmalaysia Com

Sains Tahun 5 11 638 Jpg 638 903 Education Science Sheet Music

Sains Tahun 5 11 638 Jpg 638 903 Education Science Sheet Music

Image Result For Karangan Bahagian A Spm Study Materials Image Language

Image Result For Karangan Bahagian A Spm Study Materials Image Language

Source : pinterest.com